82 miliony dolarów. Ale po kolei.
Każdy jednoprocentowy przyrost liczby gospodarstw domowych wyposażonych w broń palną powoduje skok wskaźnika zabójstw z tejże broni o 0.9 proc. Do takiej puenty doszedł zespół epidemiologów/lekarzy z bostońskiej Szkoły Zdrowia Publicznego w artykule opublikowanym kilka lat temu na łamach zasłużonego wydawnictwa medycznego „American Journal of Public Health” (AJPH). We wspomnianym elaboracie zakopano inną newralgiczną informację – otóż zwiększenie udziału czarnoskórych mieszkańców w ogólnej liczbie ludności o zaledwie jeden punkt procentowy pociąga za sobą wzrost średniej morderstw o 5.2 proc. Zwracam uwagę na ten drażliwy szczegół już na samym starcie, ponieważ o ile federalne Biuro Spisowe zarządza bardzo dokładnymi statystykami demograficznymi, które można później swobodnie zaprzęgać do różnych modeli, o tyle nie istnieją na tę chwilę żadne znormalizowane procedury mierzenia lokalnego poziomu uzbrojenia w Ameryce, zwłaszcza w ujęciu długofalowym.
Jak zaobserwował Gary Kleck, kryminolog z Uniwersytetu Stanowego Florydy, w największym teście poprawności instrumentów pomiarowych dla broni palnej – nieomal wszystkie referaty, postulujące dodatni związek na linii broń-przemoc, są niemożliwe do interpretacji, albowiem przy określaniu wielkości cywilnego arsenału ich twórcy bazują na źle dobranych parametrach zastępczych (proxy variables). Cytaty z abstraktu i paragrafu końcowego: Valid measures of macro-level gun levels are essential to assessing the impact of gun prevalence on crime and violence rates, yet almost all prior research on this topic uses proxies that are either invalid or whose validity has been assumed rather than demonstrated. (…) The supposed gun-crime associations estimated in nearly all past research must be regarded as uninterpretable on the simple grounds that gun levels were not adequately measured.
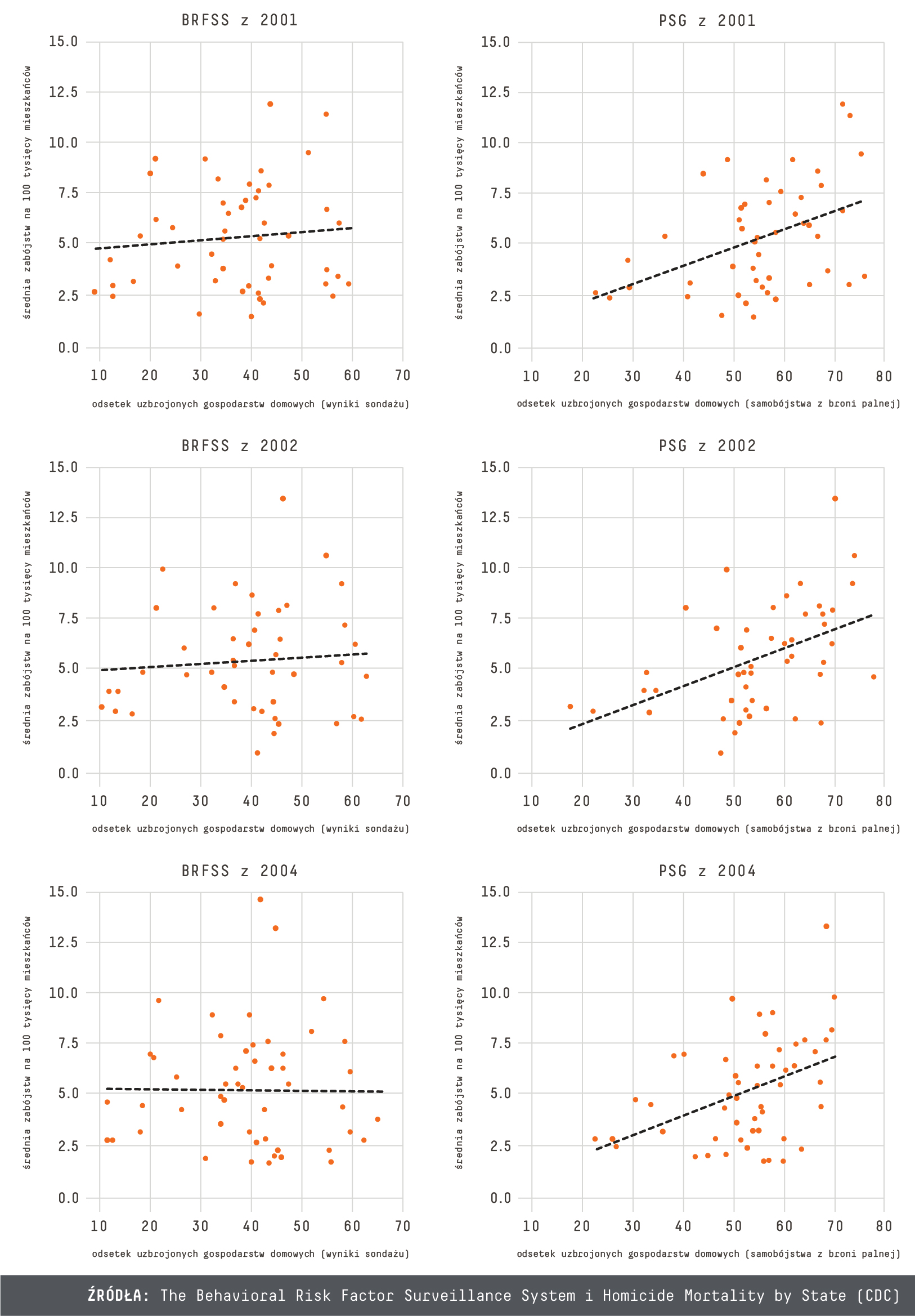
Szacując rozmiary uzbrojenia, będącego w posiadaniu amerykańskich obywateli, Siegel et al. sięgnęli po samobójstwa z broni palnej, wyliczone w stosunku do całkowitej puli udanych prób samobójczych (percent of suicides with guns, dalej PSG). Decyzja ta pozornie wydaje się być logiczna – wyższy odsetek postrzeleń w danej okolicy sugeruje, że taki obszar zamieszkany jest przez większe grono indywidualnych właścicieli pistoletów, dubeltówek tudzież sztucerów myśliwskich. Ba, autorzy sprawdzili nawet skorelowanie PSG z rezultatami ankiet, pytających respondentów o broń i wykonanych w latach 2001, 2002, 2004 na polecenie CDC w ramach populacyjnego systemu nadzoru czynników ryzyka BRFSS – i wyszła im dość silna zgodność (0.80). Postanowiłem ściągnąć wszystkie niezbędne statystyki i na własną rękę zweryfikować przydatność wykorzystanej przez nich zmiennej zastępczej.
Compressed Mortality Data (link), BRFSS Archived (link, dane w formie tabeli)
Diagramy po lewej stronie przeplatają liczbę ofiar morderstw w poszczególnych jurysdykcjach Ameryki z wynikami sondaży. Wykresy z prawej robią to samo, z tą tylko różnicą, że zamiast powoływać się na konkluzje ankieterów, determinują związek za pomocą wskaźnika proxy w postaci PSG. W konsekwencji uwidoczniona na rysunkach z lewej wypłaszczona linia regresji, sygnalizująca brak jakiegokolwiek powiązania między zabójstwami a dostępem do broni, po wprowadzeniu substytutu (PSG) generuje fałszywie dodatnią korelację. Mówiąc inaczej, na poziomie stanowym nie ma wzajemnego oddziaływania w żadnym wyraźnym kierunku między sondażowymi pomiarami uzbrojenia a zabijaniem, pojawia się natomiast (jak wykazali Siegel i koledzy) zależność między sondażami a samobójstwami z broni palnej – ciągle jednak na tyle słaba, że obie te wielkości reagują odmiennie w zetknięciu ze statystykami morderstw.
Przypuśćmy teraz w dobrej wierze, iż wszystko co napisali ci trzej panowie jest prawdą: każde jednoprocentowe skurczenie się liczby gospodarstw domowych zaopatrzonych w broń palną rzeczywiście przekłada się na obniżkę wskaźnika zabójstw o 0.9 proc. (dalej będę posługiwał się akronimem FHR od angielskiej frazy firearm homicide rate). Twierdzenie to było masowo reprodukowane w mediach przy okazji popularyzowania artykułu bostońskich lekarzy, ale bez specjalnego zrozumienia jego praktycznych implikacji.
Agregatowy FHR w Stanach Zjednoczonych w roku 2017 osiągnął granicę 3.38 śmiertelnych postrzeleń na sto tysięcy mieszkańców (indeks FBI: 10 982 ofiar morderstw z broni, populacja 324,5 miliona). Koniecznie należy pamiętać, że wartość ta wyraża stosunek wielkości (ratio), nie zaś odsetek czegoś. Redukcja rzędu 0.9 proc. wskaźnika = 3.38 wbrew pozorom nie jest imponująca – wynosi zaledwie 0,03 proc. Proponuję pobawić się tą statystyką i przetestować, jakie natychmiastowe, marginalne korzyści netto można by hipotetycznie uzyskać, wdrażając na terytorium USA np. federalne programy odpłatnej konfiskaty broni albo jej przymusowego wykupu z rąk prywatnych na modłę australijską.
Najpierw poczynimy garść czysto teoretycznych założeń w odniesieniu do szacunków zespołu Siegela: 1) zjawisko zmniejszenia FHR o 0.9 proc. cechuje się przewidywalnością, tj. da się je rozciągnąć w przyszłość i prognozować za jego pomocą kolejne spadki; 2) występuje idealna liniowa zależność między FHR a wskaźnikami indywidualnego posiadania broni (dalej PFOR, skrót od zwrotu personal firearm ownership rate) na całej rozpiętości funkcji korelującej obie zmienne – obojętnie czy na wykresie poruszamy się o jeden punkt procentowy w górę czy w dół. Mając na uwadze powyższe, rysujemy krzywą: rok 2017 – FHR = 3.38, PFOR = 30 proc. Przecinamy PFOR na pół do 15 proc. i sprawdzamy – FHR = 2.93. Zjazd o 0.45 zabójstw na 100k. Po konwersji otrzymujemy 1400+ osób, które na skutek spektakularnego ograniczenia cyrkulacji broni w amerykańskim społeczeństwie uniknęły śmierci w strzelaninach:
Są powody do świętowania? Niezupełnie. Raz, że od początku ostatniej dekady poprzedniego stulecia wskaźniki wiktymizacji morderstwami z udziałem broni palnej zdołały spaść przeszło osiem razy bardziej i to bez absolutnie żadnych programów interwencyjnych, zogniskowanych na wyeliminowaniu pistoletów czy rewolwerów z obiegu:
Dwa: nikt nie pyta o pieniądze.
Jest misją niemożliwą skwantyfikować dokładny wolumen sztuk broni, który trzeba by wykupić celem uszczuplenia PFOR o połowę. Gros Amerykanów posiada więcej niż jeden egzemplarz broni palnej: część z nich pozbyłaby się pewnie wszystkich, inni sprzedaliby kilka i odzyskane fundusze przeznaczyli na amunicję do reszty. „Super właściciele” mogliby zwrócić nawet trzy-czwarte kolekcji i nie wpłynęłoby to na skumulowaną liczbę uzbrojonych cywilów. Przyjmijmy zatem roboczo w ramach naszego eksperymentu, że operacja redukowania PFOR z 30 do 15 proc. w warunkach współczesnej Ameryki wymagałaby od federalnej administracji nabycia po cenach rynkowych (średnio $750 w zależności od modelu i/lub stanu fizycznego [1]) 50 proc. prywatnego oręża, czyli coś około 160 milionów sztuk broni. Prosta arytmetyka – sumaryczny koszt rządowej ofensywy zamknąłby się w astronomicznej kwocie 120 miliardów dolarów.
120 miliardów, żeby hipotetycznie zapobiec śmierci 1461 osób. Albo (jak łatwo obliczyć) – 82 miliony dolarów za jedno uratowane ludzkie życie. I wszystko to przy zawieszeniu niewiary i przyjęciu serii spekulatywnych czy wręcz fantastycznych domysłów – że każdy oddający broń opróżnia całą swoją szafę pancerną, że każdy albo przynajmniej większość oddających broń pochodzi z kryminogennych środowisk, że w rezultacie wytworzenia się deficytu rewolwerów, karabinków, strzelb i pistoletów przeważający odsetek morderców cudownie powstrzymuje się od zabijania, wreszcie – że kampanie skupu broni historycznie kończyły się sukcesem [2].
Do refleksji.
____________________
[1] Australijska konfiskata kosztowała podatników ~500 mln dolarów w lokalnej walucie, w efekcie przechwycono 660 tysięcy konstrukcji, co daje przeciętną cenę ~760 dolarów za sztukę.
[2] Marzenie ściętej głowy – w realnym świecie wszelkie podobne inicjatywy kończą się fiaskiem:
Thomas Abt, analityk harvardzkiej Szkoły Administracji Publicznej im. Johna F. Kennedy’ego (link): Akcje odkupywania broni nie działają, ponieważ nie zdejmują z ulic tych egzemplarzy, które służą do popełniania przestępstw. Ludzie zazwyczaj oddają konstrukcje przestarzałe lub pozbawione cech użytkowych. [Gun buybacks don’t work because they generally don’t get the kinds of guns that will be used in a crime; they typically recover old, inoperable, and inaccessible guns.]
Peter Reuter & Jenny Mouzos (link): Wykup broni nie sprawdza się jako wyjaśnienie spadających wskaźników przestępczości, bo obejmował modele rzadko używane do zabijania czy dokonywania rozbojów/napaści. [The buyback was an implausible candidate for reducing crime rates because the targeted gun type was one not much used in homicides or, presumably, other kinds of violent crime.]
Joseph Giacalone, emerytowany sierżant-detektyw NYPD, profesor nowojorskiej Wyższej Szkoły Prawa Karnego im. Johna Jaya (link): To jest dobry spektakl, ale nie pomaga w radzeniu sobie z przemocą gangów czy dilerów narkotykowych. [It’s good theater. But it’s not helping deal with gangs and drug dealers and everyone else using the guns.]
Walter Merling z Brazylijskiego Stowarzyszenia Kolekcjonerów Broni (link): 90 proc. z tego, co zostało zwrócone, to był zardzewiały, bezużyteczny złom. [90 percent of what was turned in was useless old junk.]

